do_RankedEnrichmentHeatmap() | Enrichment along components

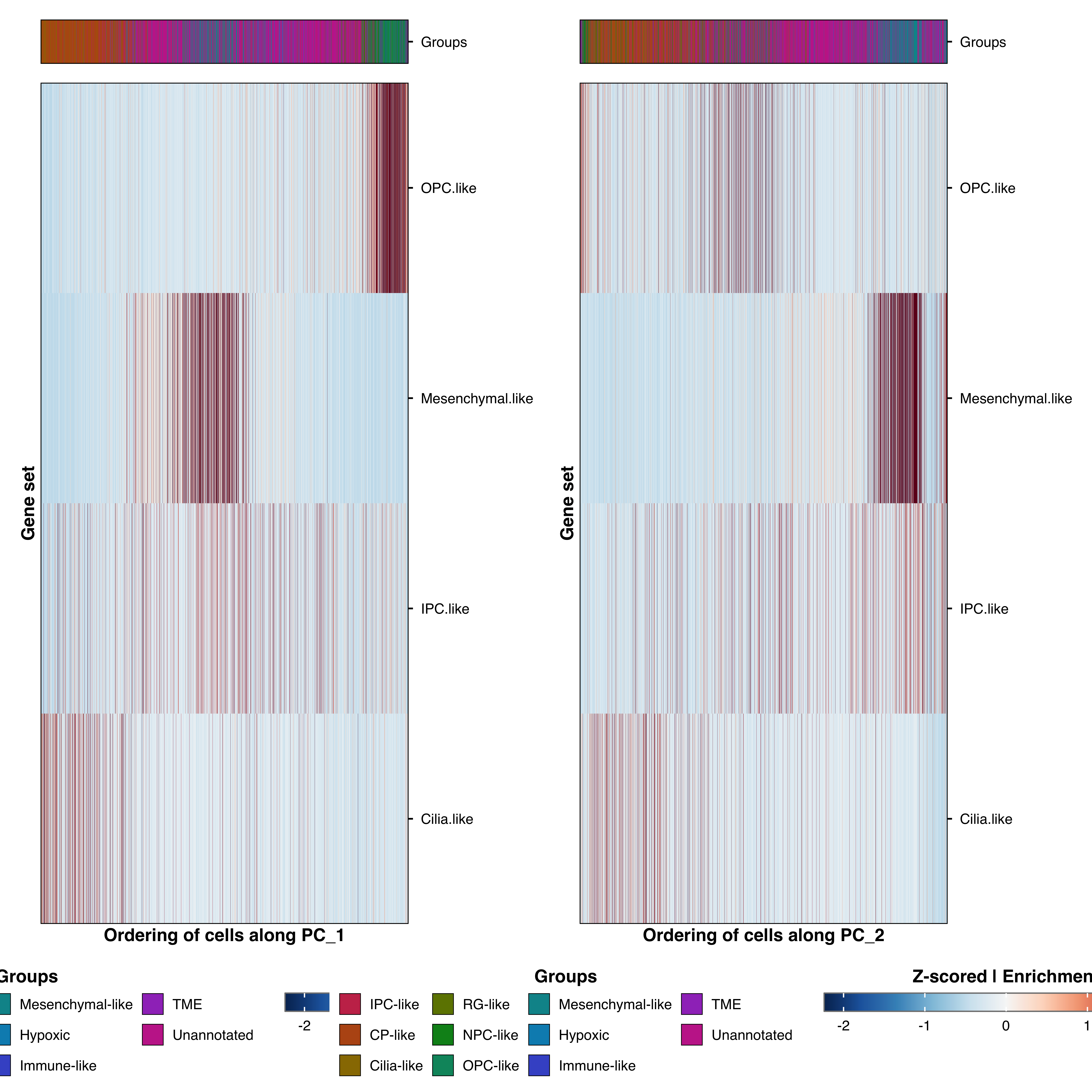
Ranked enrichment heatmaps display gene set enrichment scores ordered by a dimensional reduction component. Cells are ranked along a PC or trajectory, revealing how enrichment scores vary along continuous gradients.


Basic usage

gene_lists <- list(
  "IPC.like"      = c("CDC25C", "KIF18B", "KIF14", "CENPE"),
  "Cilia.like" = c("DNAAF1", "ADGB", "CFAP61", "CFAP157"),
  "OPC.like" = c("KCNQ5", "MEOX2", "MBP", "SNTG1"),
  "Mesenchymal.like" = c("S100A1", "MGP", "TNNT1", "H2AFJ")
)

p <- SCpubr::do_RankedEnrichmentHeatmap(sample = sample,
                                        input_gene_list = gene_lists,
                                        reduction = "pca",
                                        dims = 1)
p
#> $PC_1


Multiple dimensions

p <- SCpubr::do_RankedEnrichmentHeatmap(sample = sample,
                                        input_gene_list = gene_lists,
                                        reduction = "pca",
                                        dims = 1:2)

# Access individual plots
p$PC_1 | p$PC_2


Scale enrichment scores (default)

Z-score enrichment for easier comparison between gene sets:

p <- SCpubr::do_RankedEnrichmentHeatmap(sample = sample,
                                        input_gene_list = gene_lists,
                                        dims = 1,
                                        reduction = "pca",
                                        scale.enrichment = TRUE)
p
#> $PC_1

Note

Scaling enables intra-gene set comparison but prevents absolute value comparison between gene sets.


Add metadata track

p <- SCpubr::do_RankedEnrichmentHeatmap(
  sample          = sample,
  input_gene_list = gene_lists,
  dims            = 1,
  reduction = "pca",
  group.by        = c("Annotation", "subtype"),
)
p
#> $PC_1


Parameter reference

Note

For parameters shared across many functions (color palettes, typography, legend styling), see Shared features.

Core parameters

Parameter Description Default
input_gene_list Named list of gene signatures
dims Dimensions to rank cells by 1:2

Scoring

Parameter Description Default
flavor "Seurat" or "UCell" "Seurat"
scale.enrichment Z-score enrichment values TRUE
nbin Bins for Seurat scoring 24
ctrl Control genes per bin 100

Appearance

Parameter Description Default
main.heatmap.size Main heatmap proportion (0-1) 0.95
subsample Max cells to display 2500
return_object Return Seurat object FALSE

See also